News 2021

ISPM PhD candidate winner of the SSPH+ ScienceFlashTalk will represent ISPM at the Expo-Dubai in 2022

19.11.2021 – Magda Gamba, PhD student in the Lifestyle and behavior group at the Institute of Social and preventive medicine (ISPM), will be representing ISPM and the University of Bern at the Swiss Pavilion in the Expo-Dubai 2020 at the end of coming January after winning the 2021 SSPH+ ScienceFlashTalk Award together with Ogonna Nwankwo, PhD student at the Swiss TPH. Continue reading

Dangers of silent atrial fibrillation in diabetes

19.11.2021 – In a major study, a research group at Inselspital, Bern University Hospital and the University of Bern investigated atrial fibrillation (AF) in people with andwithout diabetes. Patients with diabetes were found to have significantly more frequent, silent (asymptomatic) atrial fibrillation. Continue reading

Two ISPM Professors among the list of Highly Cited Researchers 2021

19.11.2021 – Matthias Egger and Georgia Salanti from ISPM are, again, among the world's most cited researchers in 2021. Their publication records are the result of collaborative efforts with international and national scientists, and have received a lot of attention from the scientific community. Continue reading

IeDEA-SA has started its 16th year

18.11.2021 – Matthias Egger, his team and international partners have received another five years of funding from the National Institutes of Health (NIH; United States). The nearly 16 million USD award ensures the continuation of the International epidemiology Databases to Evaluate AIDS Southern Africa (IeDEA-SA) collaboration through 2026. Continue reading

Prestigious NIH-grant for ISPM research group

18.11.2021 – Building upon his collaborative work with the International epidemiology Databases to Evaluate AIDS (IeDEA), Matthias Egger has again been awarded funding from the National Institutes of Health (NIH; United States). With a grant of nearly 2.5 million USD over the next three years, this NIH award will support research about HIV drug resistance. Continue reading

STROBE-MR: Reporting guidelines for Mendelian randomization studies

27.10.2021 – An international team of researchers and experts, including Veronika Whitesell Skrivankova and Matthias Egger from ISPM, developed new reporting guidelines for observational studies using Mendelian randomization. The STROBE-MR guidelines were published in both JAMA and BMJ today. Continue reading

Psychiatric patients may be vulnerable to ambient temperatures - study says

25.10.2021 – A new study co-led by researchers of the Institute of Social and Preventive Medicine and the University Hospital of Psychiatry and Psychotherapy of the University of Bern has found that ambient temperature could influence the risk of hospitalizations due to mental disorders even in countries with a temperate climate like Switzerland. This study published in PLOS One represents an extensive investigation, assessing almost 90,000 hospitalizations in the city of Bern and its surroundings over 45 years of time. Continue reading

International Cancer Survivor Symposium 2022

19.10.2021 – The international Cancer Survivor Symposium will take place February 3rd 2022 in Bern, led by among others Prof. Dr. med. Claudia Kuehni. Continue reading

Participatory research – Living with an undiagnosed rare disease

18.10.2021 – In his autobiography «husten verboten» (coughing prohibited), Hansruedi Silberschmidt describes his life as a child and young adult with an undiagnosed disease and his path of suffering until he was finally diagnosed with primary ciliary dyskinesia (PCD) at the age of 39. Continue reading

ESC Guidelines on cardiovascular disease prevention in clinical practice launched today

30.08.2021 – The European Society of Cardiology (ESC) Guidelines on cardiovascular disease prevention in clinical practice are published online today in European Heart Journal. Continue reading

ISPM hosts symposium to commemorate 50 years featuring international public health experts

13.09.2021 – The Institute of Social and Preventive Medicine (ISPM) at the University of Bern Commemorates 50 Years with a symposium. The symposium features past and the present ISPM Directors, as well as internationally recognized public health experts who will discuss ISPM’s history and public health yesterday, today, and tomorrow. Continue reading

Collaboration agreement between ISPM Bern and the Harvard T.C Chan School of Public Health established

06.09.2021 – The beginning of September 2021 saw the completion of an agreement (confirmed with the signing of an MoU) to collaborate between these two institutions. Continue reading

ISPM Researchers at meet-the-researcher event in Waisenhausplatz in Bern

20.08.2021 – Members of the MHCOVID project will present their work to the public in the«Rendez-vous: Forschende im Gespräch» event that will take place on August 27th and 28th at Waisenhausplatz in Bern. Continue reading

Director of ISPM made Honorary Professor by Pontificia Universidad Javeriana

Director of ISPM made «Honorary Professor» by Pontificia Universidad Javeriana

03.08.2021 – During a virtual ceremony celebrated on August 2nd 2021, Professor Oscar Franco, Director of ISPM Bern, was conferred the title of «Honorary Professor» by the Pontificia Universidad Javeriana based in Bogotá, Colombia and among the top universities in Latin America. Continue reading

New grant for ISPM to join the WHO special initiative on urban governance for health

19.07.2021 – The Institute of Social and Preventive Medicine (ISPM), committed to generating evidence that improves health at the individual, community, population and planetary levels, has now received a grant by the World Health Organization to develop a protocol and implementation strategy for operational research in the WHO special initiative on urban governance for health, equity, and wellbeing (UGH_Bern). Continue reading

New platform on lifestyle and behaviour

14.07.2021 – The Institute of Social and Preventive Medicine, conscious of the importance of adopting a healthy lifestyle throughout the life course and stemming from its commitment to generating evidence that improves health at the individual, community, and planetary levels, has now established a new research group on lifestyle and behaviour. Continue reading

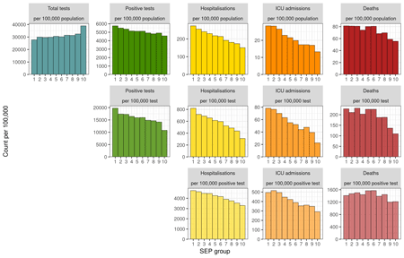
Study shows that poorer people less likely to be tested for SARS-CoV-2, and more likely to be hospitalised, enter ICU and die

10.07.2021 – New research from Switzerland presented at this year’s European Congress of Clinical Microbiology and Infectious Diseases (ECCMID), held online this year, shows that people living in poorer neighbourhoods were less likely to be tested but more likely to test positive, be hospitalised, or die, compared with those in more wealthy areas. The study is by Professor Matthias Egger and Dr Julien Riou, Institute of Social and Preventive Medicine, Bern, Switzerland. Continue reading

Swiss Lung Association grant on phenotypes of Primary Ciliary Dyskinesia

09.07.2021 – Eva Sophie Lunde Pedersen  has been awarded a grant from the Swiss Lung Association to identify phenotypes of primary ciliary dyskinesia and study their association with genotypes and disease progression using longitudinal data from a large international study. Continue reading

ISPM PhD candidate won prize for best oral presentation at the annual congress of the Swiss Society of Paediatrics

21.06.2021 – Sven Strebel, like Carmen de Jong and Eva Pedersen previously, won the prize awarded in the SwissPedNet session for Translational and Clinical Research in Paediatrics with his presentation “Prevalence and Clinical Risk Factors of Severe Hearing Loss in Swiss Childhood Cancer Survivors.” Continue reading

Annelies Wilder-Smith appointed as adjunct professor at ISPM

14.06.2021 – In May 2021, Annelies Wilder-Smith was appointed Adjunt Professor at the Institute of Social and Preventive Medicine. She will support the work of ISPM and particularly the new research group on community health and health care systems. Continue reading

Figure legend: The new SARS-CoV-2 variant 20E (EU1) has spread widely across Europe. The diameter of the circles shows the number of sequences (color-coded by country). Spain is shown in red, and Switzerland in purple. Bottom right: The corresponding “family tree” of sequences of the new variant (color-coded by country) indicates that 20E (EU1) traveled between countries multiple times. (Visualization: Nextstrain, Mapbox, OpenStreetMap)
The new SARS-CoV-2 variant 20E (EU1) has spread widely across Europe.

European variant from summer 2020 shows the impact of human behaviour and travel on SARS-CoV-2 spread

08.06.2021 – As Europe once again begins balancing summer holiday travel with pandemic precautions, a paper out today in Nature looks at how post-lockdown border opening and movement helped to spread a novel SARS-CoV-2 variant across Europe last year. The variant, known as 20E (EU1) and studied by researchers in Switzerland, Spain, and the US, was the most prevalent variant in western Europe by the end of 2020, before the rise of the Alpha variant. Continue reading

Estimate of historical heat-related mortality (1991 - 2018) attributed to human-induced climate change (CC), expressed as mortality fraction (%), in the 732 locations included in the study.
Estimate of historical heat-related mortality (1991 - 2018) attributed to human-induced climate change (CC), expressed as mortality fraction (%), in the 732 locations included in the study.

Global warming already responsible for one in three heat-related deaths

31.05.2021 – An international study coordinated by Ana M. Vicedo-Cabrera, researcher of ISPM, in collaboration with the London School of Hygiene & Tropical Medicine shows for the first time the actual contribution of man-made climate change in increasing mortality risks due to heat: between 1991 and 2018, more than a third of all deaths in which heat played a role were attributable to global warming. The study, the largest of this kind, used data from 732 cities in 43 countries around the world and has just been published in the "Nature Climate Change" journal. Continue reading

Dr. Annika Frahsa appointed as Assistant Professor for «Community Health and Health Care Systems» at ISPM Bern

03.05.2021 – Promoting health in and with communities is a key area in Public Health research and practise. Supported by an endowment of the Lindenhof Foundation, Annika Frahsa has joined the ISPM team starting in May 2021. Continue reading

COVID-19 and the Inverse Care Law

25.04.2021 – A study of ISPM Bern / FOPH / ETH Zurich illustrates the inverse care law Julian Tudor Hart proposed 50 years ago. Continue reading

Public Health kompakt: Fourth edition of textbook published

29.03.2021 – Edited by Matthias Egger, Oliver Razum and Anita Rieder, Public Health kompakt (in German) has established itself as an introductory text for students of medicine, nursing and other health professions in Switzerland, Germany and Austria. The textbook Public Health kompakt provides an excellent overview of the concepts and fields of public health and an exciting introduction to the world of population health. Continue reading

Publish or perish and the journal impact factor – is the end in sight?

12.03.2021 – Matthias Egger gave a talk at the «7ème Symposium annuel de recherche» of unisanté, University of Lausanne. The talk is in French. Continue reading

Congratulations to Sofia Zambrano for the SNSF Eccellenza Fellowship

08.02.2021 – Sofia Zambrano has received an SNSF Eccellenza Professorial Fellowship to perform her research at the Institute of Social and Preventive Medicine (ISPM). The social scientist studies the role of emotions in the practice of medicine with a special emphasis on how emotions affect the communication between physicians and patients at the end of life. Continue reading

ISPM is celebrating its 50th birthday! Prevention today and tomorrow!

05.02.2021 – Since 1971, for 50 years, the Institute of Social and Preventive Medicine (ISPM) at the University of Bern has been devoted to the improvement of health and wellbeing of individuals and populations. Through high quality research in the fields of prevention, social medicine, epidemiology, biostatistics and public health and together with numerous national and international partners ISPM stands for health for all. Continue reading

Only 14% of the Bernese population have antibodies against coronavirus

04.02.2021 – In the canton of Bern, only 14% of the population were infected with the coronavirus and developed antibodies against SARS-Cov-2. These are the preliminary results of a seroprevalence study coordinated by the Swiss School of Public Health and carried out in Bern by the University of Bern in cooperation with the Inselspital, University Hospital Bern. Continue reading

The MHCOVID project: Corona and mental health

03.02.2021 - A global review aims to summarize and make available evidence on the psychological effects of the COVID19 pandemic using an innovative approach, described in the newly released project website. Continue reading

Nicola Low on the board of directors of the new Multidisciplinary Center for Infectious Diseases and Immunity (MCIDI)

27.01.2021 - Despite widespread warnings from the WHO in 2019 about the risks and the prediction of a «disease X», the COVID-19 pandemic caught the world completely off guard. Continue reading

News 2021

2021/07/19
2021/07/10
2021/02/05
2021/02/03

Previous

More News